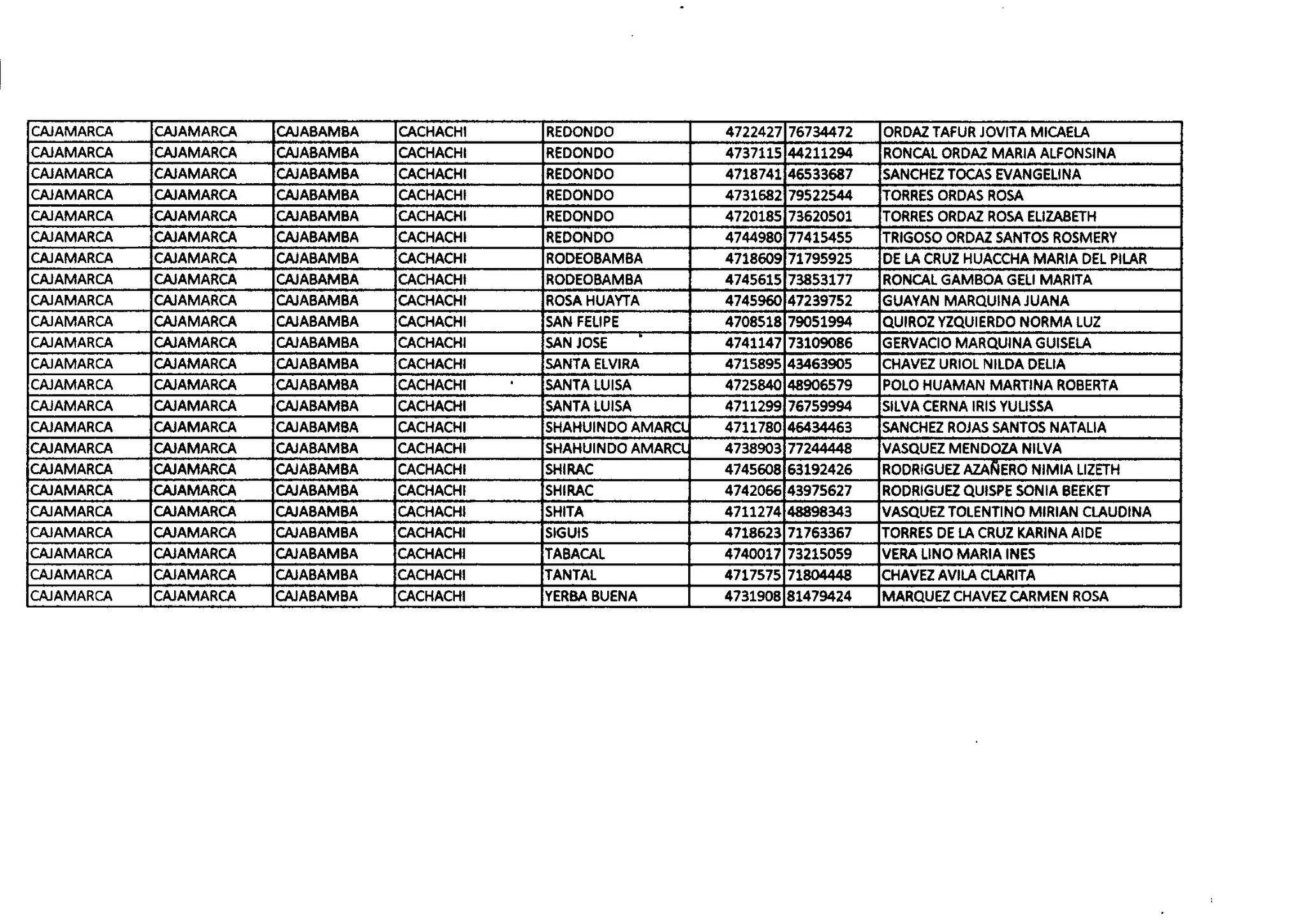
#Municipalidaddistritalcachachitext Se comunica a las madres de las siguientes listas, que deben empadronarse para que sus hijos menores de 2 años , puedan acceder al DIT del programa Juntos. Mayor información comunicarse con la señora ROSA NORIEGA al celular 969109004.
-
Click para aumentar!
Click para aumentar!
-
Click para aumentar!
Click para aumentar!
-
Click para aumentar!
Click para aumentar!
View the embedded image gallery online at:
https://www.municachachi.gob.pe/index.php/noticias/746-comunicado-10#sigProIdab00bc34c0
https://www.municachachi.gob.pe/index.php/noticias/746-comunicado-10#sigProIdab00bc34c0

